网站首页  词典首页


请输入您要查询的字词:

 

字词 变位齿轮
类别 中英文字词句释义及详细解析
释义 变位齿轮

刀具中线与齿轮坯分度圆间的距离用系数x和模数m的乘积xm表示,其中x称为变位系数。刀具中线由齿轮坯分度圆远离轮坯中心时,称为正变位,取x为正值;反之,称为负变位,取x为负值。变位齿轮的模数、分度圆压力角、分度圆直径和基圆直径均与标准齿轮相同。正变位时,齿顶圆直径和齿根圆直径增大;负变位时,则减小。

斜齿轮的变位,可用端面变位系数或法面变位系数xn表示,,β为分度圆柱螺旋角。

根据中心距和啮合角是否改变,变位齿轮又分如下两种:

❶  高度变位:两齿轮的变位系数值之和为零(即x1+x2=0),中心距不变(a′=a),啮合角也不变(a′=a),两齿轮分度圆仍相切,节圆与分度圆重合,全齿高不变。

❷  角度变位:两齿轮的变位系数值之和不为零(即),中心距改变(),啮合线和节点均移位,啮合角也改变(),节圆与分度圆不重合,齿全高改变。当x1+x2>0时,a′>a,a′>a,称为正角度变位;x1+x2<0时,a′<a,称为负角度变位。

变位齿轮与标准齿轮的主要几何尺寸和参数比较见表4.16-3。

表4.16-3 标准的与变位的齿轮传动比较

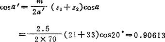
例4.16-1 一对直齿圆柱齿轮,齿数z1=21、z2=33、模数m=2.5mm、中心距a′=70mm。试确定其变位系数。

解:首先根据确定的中心距a′求啮合角a′:

故a′=25°1′26″。然后,在图4.16-1中自O点按a′=25°1′26″作射线,与齿数和zΣ=54处垂线相交于A1点,该点的纵坐标即为总变位系数xΣ=1.12(因A1点处在许用区内,故可用)。最后,据根xΣ及齿数比u=z2/z1=33/21=1.57分配变位系数x1和x2。方法是:按线图左侧斜线❷ 与A1点的水平线交于C1点,该点的横坐标即为x1。图中x1=0.55,故x2=xΣ-x1=1.12-0.55=0.57。

例4.16-2 一对直齿圆柱齿轮,齿数z1=17、z2=100,要求尽可能提高齿面接触强度,试确定变位系数。

解:为提高接触强度,应按最大啮合角选取总变位系数。首先,在图4.16-1中自zΣ=z1十z2=17+100=117处向上引垂线,与线图上边界线交于A2点(此处啮合角最大),该点的纵坐标值即为总变位系数xΣ=2.54(若需圆整中心距,可以适当调整xΣ值)。然后,根据xΣ和齿数比u=x2/z1=100/17=5.88,按A2点作水平线交于斜线❺ 的C2点,该点的横坐标即为小齿轮变位系数x1=0.77。故大齿轮变位系数x2=xΣ-x1=1.77。

例4.16-3 一对直齿圆柱齿轮,齿数z1=15、z2=28,试确定高度变位系数。

解:高度变位时,a′=a=20°,zΣ=0。根据齿数比u=z2/z1=28/15=1.87,由图4.16-1左侧斜线❸ 与xΣ=0的水平线的交点,即为变位系数x1=0.23。故x2=-0.23。

斜齿圆柱齿轮传动变位时,以其当量齿数zv=z/cossβ,按直齿圆柱齿轮的方法选择变位系数。内啮合齿轮传动的变位,为了避免加工时产生顶切或啮合时的齿廓干涉,通常可按顶切和啮合干涉的限制条件选择变位系数。

随便看

 

离鸟网收录3541549条中英文词条,其功能与新华字典、现代汉语词典、牛津高阶英汉词典等各类中英文词典类似,基本涵盖了全部常用中英文字词句的读音、释义及用法,是语言学习和写作的有利工具。

 

Copyright © 2004-2024 vtrois.com All Rights Reserved
更新时间:2026/5/27 9:12:05