网站首页  词典首页


请输入您要查询的字词:

 

字词 变率配直法
类别 中英文字词句释义及详细解析
释义 变率配直法

可直接求解微分方程近似解的数值方法,是加权残数法中一个新的基本方法。

加权残数法的解题思想远在20世纪30年代即提出,那时主要应用于数学领域,到50年代,这一方法才正式被归纳统一为加权残数法,又称加权残值法或加权余量法。该法分析问题时,先假定一个试函数作为近似解,将试函数代入控制微分方程和边界方程或初始条件,一般不能满足而出现残值,用RI和RB分别表示控制微分方程的残值和边界方程的残值。

这些残值在整个域内(V)或在边界(S)上,须按某种平均意义来消除残值,根据不同的条件引入不同的权函数W乘以残值使其为零,基本方程为:

其中Wi和Ti分别为在域内和边界上(或初值)所采用的权函数,由此可得到消除残值的方程组,它是一系列线性或非线性的代数方程组,联立求解这些方程组,便得出满足控制微分方程和边界条件的近似解。若假定的试函数满足边界方程(或边界条件)即RB=0,仅用|vRIWidv=0式而消除残值RI,则称内部法,若假定的试函数满足控制微分方程,即RI=0,仅用式消除残值RB,则称边界法,否则称混合法。

不同的权函数Wi反映在消除残值时的不同准则,加权残数法可根据不同的权函数而得到不同的基本方法,通常有以下几种形式:(1)配点法;(2)最小二乘法;(3)子域法;(4)伽辽金法;(5)矩量法。

加权残数法的基本特点是:在理论方面它直接从控制微分方程出发求解问题,简单易懂,不象变分法那样需要复杂的数学处理,又由于它的应用与问题的能量泛函是否存在无关,因而它的应用范围较广,是半解析法的一种,即解析法与离散结合的方法。

在计算方面,计算程序十分简单,所需求解的代数方程组的阶数较低,计算机内存容量要求不高,可以充分发挥微机的作用。此外,加权残数法在求得结果的同时,可以给出残值的大小,而残值的大小可以直接反映出解答的精确度,这一优点较为独特。

加权残数法从70年代末引入固体力学中以来,不论在理论上还是在工程应用中,新方法的提出和应用都取得了较大的发展。1982年中国在厦门召开了第1届“全国加权残数法学术交流会”,会上就有64篇学术论文发表,随后又召开了第2届、第3届学术会议。1986年日本国际计算力学会议和美国第1届计算力学世界大会,中国的MWR Method of Weighted Residuals论文最多。到1990年底,中国力学工作者在国内外各种学术会议和刊物上发表的MWR论文超过500多篇,范围广泛地涉及到各个学科。

如该法可解弹性力学中的平面问题;三维问题;在板壳中的薄板弯曲问题;大挠度问题;稳定问题和动力响应问题;中厚板的静、动问题以及非线性结构的静、动力问题。

在上面提到的5种基本方法中,配点法是MWR中使用的最简单的一种方法,最易于同其它方法结合使用,因此应用极为普遍(国外使用的MWR就以配点法为最多)。但一般单纯配点法精度较低,故国内的许多学者大大地发展配点法,如样条伽辽金配点法、矩量配点法、能量配点法、最小二乘配点法、配线法、分段配线法、变率配点法、变率配线法、变率配面法以及变率配置混合法。

80年代末,姜开春等提出在概念上与其他MWR不同的变率配点法,主要特点是在低阶微分空间处理残值,它扩充了配点法的概念,也为MWR在数值方法求解中开辟了一条新的途径。

其精度在同样网格下高于一般配点法,但需考虑残值方程式的波动情况,且在集中力作用时不能求导,应用时也有一定困难。

1991年太原重型机械学院姚河省硕士研究生论文对该法进行研究,提出变率配线混合法及变率配面法,解决了变率配点法对集中力不能求导的问题。

同样以四边简支薄版为例,采用3×3到11×11的均匀网格划分,同时用配点法、配线法、变率配点法和变率配线法进行计算,结果表明,在同样网格划分条件下,变率配置法比一般配置法计算结果好。在集中力作用下分别用配面法和变率配面法进行计算,变率配面法比配面法收敛更快。

另外,将配线法和变率配点法联合使用,计算正交各向异性单层薄板受均布载作用时的中点位移,效果良好。1992年太原工业大学郭胜利硕士研究生把变率配置法(配点、配线及配面法)推广到解中厚板的静、动力问题,先将厚板方程化为可解形式(有限阶),经过数学处理得出以中面挠度W表示的厚板方程:

其中D=Eh3/12(1-μ2),▽2为对x,y的二维拉氏算子,h为板厚,P为分布载荷。

取试函数满足边界条件,则残值为:

引进算子列阵,则令{T}RI={0},即能求出系数Aij

这种方法是:设问题的控制微分方程及边界条件已知,取方程的近似解为,其中U为试函数,φi是一组线性无关的基函数,Ci为任意常数。

将试函数代入求解方程,则有残值{R},引入残值变化率算子T,并作用于残值,则有

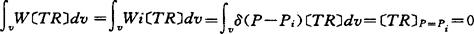
式中为域内的j阶微分算子,为域内的矢;为沿边界S的j的阶微分算子,为边界S上的矢。令试函数U的残值变化率函数T{R}在闭域V上的加权积分等于零,即∫vW〔TR〕clv=0。

W为权函数,随著不同的权函数和不同的变率配置方式可得不同的变率配置法。

变率配点法:当权函数W取为点源函数狄拉克δ函数时有:

变率配线法:取权函数W为线源函数Wk时,则有:

变率配面法:当取试函数W取为面源函数Wi时,则有:

该法高阶变率理论是可行的,而目前尚无高阶变率算例。

另一方面,将该法如何引入到扁壳的静动力中去的问题,还有待进一步研究。

【参考文献】:

1 姜开春,王德满.固体力学学报,1988;4

2 姚河省,太原重型机械学院硕士研究生论文,1991

3 戴少度,姚河省.力学在工程中的应用.北京:中国林业出版社,1992.345~348

4 丁树人,郭胜利.计算力学理论与应用.北京:中国科学出版社,1992.124~127

5 郭胜利.太原工业大学硕士研究生论文,1992

(太原工业大学丁树人教授撰)

随便看

 

离鸟网收录3541549条中英文词条,其功能与新华字典、现代汉语词典、牛津高阶英汉词典等各类中英文词典类似,基本涵盖了全部常用中英文字词句的读音、释义及用法,是语言学习和写作的有利工具。

 

Copyright © 2004-2024 vtrois.com All Rights Reserved
更新时间:2026/4/5 17:59:53