变质量运动物体的分析方法
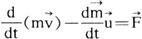
在客观世界中,也存在质量不是常数而是随时间变化的物体(质点)的现象。 例如火箭及雨滴等,研究此类物体,可从动量定理出发。设一物体在t时刻质量为m,速度为 (v《光速c),同时有一小质量△m以速度 运动,并在t+△t时刻与m合并,合并后的共同速度为 ,设作用在m及△m上的合外力为 ,则由动量定理得  (m与△m之间的相互作用力即内力已相消),略去上式中的高级小量,即得变质量物体的动力学方程  虽在推导上式述及的是 的情况,其实上式也适用于 的情况,此时 应是分裂出去的dm的速度。 |