网站首页  词典首页


请输入您要查询的字词:

 

字词 可乐定[中]
类别 中英文字词句释义及详细解析
释义 可乐定[中]

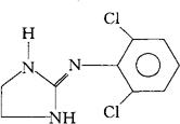
C9H9Cl2N3=230.10

CAS-4205-90-7

2,6-二氯-N-2-咪唑烷亚基苯胺。

2,6-Dichloro-N-2-imidazolidinylidenebenzenamine.

2-[(2,6-二氯苯基)亚氨基]咪唑烷。

2-[(2,6-Dichlorophenyl)imino]imidazolidine.

抗高血压药,可激动中枢α2-肾上腺素受体。

用于高血压症。

氯压定,可乐宁,血压得平,110降压片。

Clonidine,ST-155-BS,Chlofazolinc,Catapressan.

INN,BAN,USAN.

随便看

 

离鸟网收录3541549条中英文词条,其功能与新华字典、现代汉语词典、牛津高阶英汉词典等各类中英文词典类似,基本涵盖了全部常用中英文字词句的读音、释义及用法,是语言学习和写作的有利工具。

 

Copyright © 2004-2024 vtrois.com All Rights Reserved
更新时间:2026/4/6 14:54:24