可决系数
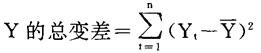
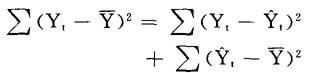
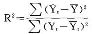
用来反映回归模式说明因变量变化可靠程度的一个统计指标,一般用符号"R"表示,可定义为已被模式中全部自变量说明的自变量的变差对自变量总变差的比值。  回归模型中因变量Y的总变差,能通过该变量的观察值Yt与平均值 的差方求和来测定:  与每个观察值Xt对应的Yt的估计值 t可以根据回归模式计算出来,如 t=a+bx 则把( t- )定义为因变量已被说明的变差,(Yt- t)定义为因变量未被说明的变差。很明显,其差方之和为:  可以证明,Y的总变差等于已被说明的总变差与未被说明的总变差之和,即  根据可决系数R2的定义,  R2的值从0到1。R2的值如为0,表示回归模式不合适,根本不能说明因变量的变化;R2的值如为1,则表示因变量的全部变差都已被回归模式中的自变量加以说明了。如果R2的值为0.80左右,即可认为模式基本令人满意。 |