网站首页  词典首页


请输入您要查询的字词:

 

字词 可变构成指数
类别 中英文字词句释义及详细解析
释义 可变构成指数

又称可变组成指数,简称可变指数。

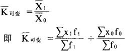
指社会经济现象总体两期某项平均指标对比的动态相对数,是总体某项指标的计算期加权平均数与基期加权平均数对比的结果。其公式为:

式中,(可变)为可变指数,X为加权平均数,X为各单位或各组的标志数值,f为单位数(次数、权数),0和1为基期和计算期,∑为总计算符号。由公式表明,可变指数包括总体各单位(或各组)标志水平的变化,还包括总体内部结构影响指数,存在客观固有的内在联系,形成了相互联系的指数体系。可变指数等于固定构成指数、结构影响指数的乘积,根据二指数的资料,便可推算可变指数。

随便看

 

离鸟网收录3541549条中英文词条,其功能与新华字典、现代汉语词典、牛津高阶英汉词典等各类中英文词典类似,基本涵盖了全部常用中英文字词句的读音、释义及用法,是语言学习和写作的有利工具。

 

Copyright © 2004-2024 vtrois.com All Rights Reserved
更新时间:2026/4/6 23:34:42