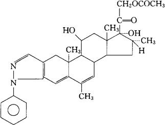
可的伐唑
C32H38N2O5=530.66 CAS-1110-40-3 (11β,16α)-21-(乙酰氧)-11,17-二羟-6,16-二甲基-2′-苯基-2′H-孕甾-2,4,6-三烯并[3,2-e]吡唑-20-酮。 21-(Acetyloxy)-11,17-dihydroxy-6,16-dimethyl-2′-phenyl-2′H-pregna-2,4,6-trieno[3,2-c]pyrazol-20-one,(11β,16α)-. 11β,17,21-三羟-6,16α-二甲基-2′-苯基-2′H-孕甾-2,4,6-三烯并[3,2-c]吡唑-20-酮21-醋酸酯。 11β,17,21-Trihydroxy-6,16α-dimethyl-2′-phenyl-2′H-pregna-2,4,6-trieno[3,2-c]pyrazol-20-one 21-acetate. 肾上腺皮质激素类药,抗炎药。 可的外唑。 Cortivazol,NSC-80998,MK650,Diaster,Idaltim. INN,USAN.  |