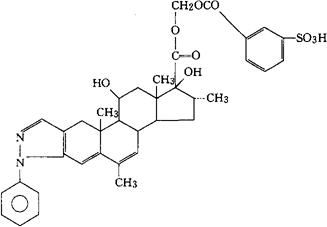
可的磺唑
C37H40N2O8S=672.79 CAS-50801-44-0 11β,17,21-三羟-6,16α-二甲基-2′-苯基2′H-孕甾-2,4,6,-三烯并[3-2-c]-吡唑-20-酮21-(间-磺基苯甲酸酯)。 11β,17,21-Trihydroxy-6,16α-dimethyl-2′-phenyl-2′H-pregna-2,4,6-thieno[3,2-c[-pyrazol-20-one 21-sulfobenzoate. 肾上腺皮质激素类药,抗炎药。 可替苏佐,可的舒唑。 Cortisuzol,RU-16999,Solu-Altim. INN,DCF,USAN.  |