网站首页  词典首页


请输入您要查询的字词:

 

字词 台风内力
类别 中英文字词句释义及详细解析
释义 台风内力

台风流场在地转偏向力作用下产生的、作用在整个台风上的一种力。

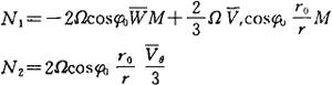
如果把台风流场分解为沿半径方向的分量、沿铅直方向的分量和相对于台风中心的切向分量Vθ,即把台风看作圆柱体,对台风进行体积积分,可得到东西方向和南北方向所受的内力分别为:

其中,φ0为台风中心所在的纬度;速度分量上的横杠“-”表示整个台风区内的平均;M为台风质量;r0为其半径;Vr,W,Vθ分别为沿径向、垂直方向和切向的速度分量。由于在台风区内,故在北半球作用于台风整体的内力方向指向西北。

随便看

 

离鸟网收录3541549条中英文词条,其功能与新华字典、现代汉语词典、牛津高阶英汉词典等各类中英文词典类似,基本涵盖了全部常用中英文字词句的读音、释义及用法,是语言学习和写作的有利工具。

 

Copyright © 2004-2024 vtrois.com All Rights Reserved
更新时间:2026/5/28 15:06:18