网站首页  词典首页


请输入您要查询的字词:

 

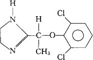
字词 右洛非西定
类别 中英文字词句释义及详细解析
释义 右洛非西定

C11H12Cl2N2O=259.14

CAS-81447-79-2

(+)-(S)-2-[1-(2,6-二氯苯氧)乙基]-2-咪唑啉。

(+)-(S)-2-[1-(2,6-Dichlorophenoxy)ethyl]-2-imi dazoline.

抗高血压药。

Dexlobexidime.

INN,USAN.

随便看

 

离鸟网收录3541549条中英文词条,其功能与新华字典、现代汉语词典、牛津高阶英汉词典等各类中英文词典类似,基本涵盖了全部常用中英文字词句的读音、释义及用法,是语言学习和写作的有利工具。

 

Copyright © 2004-2024 vtrois.com All Rights Reserved
更新时间:2026/4/7 11:11:57