网站首页  词典首页


请输入您要查询的字词:

 

字词 右维拉帕米
类别 中英文字词句释义及详细解析
释义 右维拉帕米

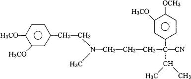
C27H38N2O4=454.61

CAS-38321-02-7

(+)-(R)-5-[(3,4-二甲氧苯乙基)甲氨基]-2-(3,4-二甲氧苯基)-2-异丙基戊腈。

(+)-(R)-5-[(3,4-Dimethoxyphenethyl)methylamino]-2-(3,4-dimethoxyphenyl)-2-isopropylvaleronitrile.

抗心律失常药。

Dexverapamil.

INN,USAN.

随便看

 

离鸟网收录3541549条中英文词条,其功能与新华字典、现代汉语词典、牛津高阶英汉词典等各类中英文词典类似,基本涵盖了全部常用中英文字词句的读音、释义及用法,是语言学习和写作的有利工具。

 

Copyright © 2004-2024 vtrois.com All Rights Reserved
更新时间:2026/4/8 19:30:15