网站首页  词典首页


请输入您要查询的字词:

 

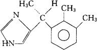
字词 右美托咪定
类别 中英文字词句释义及详细解析
释义 右美托咪定

C13H16N2=200.28

CAS-113775-47-6

(R)-4-[1-(2,3-二甲苯基)乙基]-1H-咪唑。

1H-Imidazole,4-[1-(2,3-dimethylphenyl)ethyl]-,(R)-.

(+)-4-[(R)-α,2,3-三甲苄基]咪唑。

(+)-4-[(R)-α,2,3-Trimethylbenzyl]imidazole.

安定药。

Dexmedetomidine,MPV-1440.

INN,BAN,USAN.

随便看

 

离鸟网收录3541549条中英文词条,其功能与新华字典、现代汉语词典、牛津高阶英汉词典等各类中英文词典类似,基本涵盖了全部常用中英文字词句的读音、释义及用法,是语言学习和写作的有利工具。

 

Copyright © 2004-2024 vtrois.com All Rights Reserved
更新时间:2026/4/6 15:34:08