网站首页  词典首页


请输入您要查询的字词:

 

字词 叶片式摆动液压缸设计要点
类别 中英文字词句释义及详细解析
释义 叶片式摆动液压缸设计要点

(1)用转矩公式确定主要结构尺寸

通常情况下,负载在空气或水中工作,其粘性阻尼系数可以忽略。输出转矩只要克服驱动负载所必需的转矩和使负载获得必要的角加速度所需的转矩。即:

表25.5-1列出了各类摆动液压缸的机械效率和容积效率的选取范围。

(4)主要零件的强度和刚度计算

(A)缸盖和缸体都受内压连续均布载荷时,其强度和刚度可根据具体的几何形状参照弹性薄板或薄壳的有关公式计算。若摆角在300°左右,摆动液压缸形状成短圆柱状时,也可参照液压缸缸筒的办法进行计算。

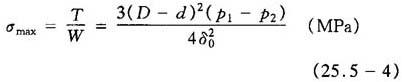
(B)对于片状结构的叶片,其危险截面在根部。最大正应力为

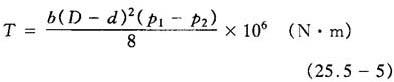
式中 T——叶片根部所受弯矩,由下式求得

W——叶片根部抗弯截面系数,对矩形截面

D——缸体内径(m);

d——叶片安装轴外径(m);

p1——进口压力(MPa);

p2——出口压力(MPa);

δ0——叶片根部厚度(m)。

式(25.5-5)和式(25.5-6)中的b为叶片轴向宽度(m)。

应该使

式中 σs——叶片材料的屈服极限(MPa);

n——安全系数,取3~4。

为降低应力集中系数,叶片根部和输出轴的连接处应尽可能加大过渡部分的圆角。

对于块状结构的叶片,可用式(25.5-5)进行强度计算。

(C)缸体连接计算:缸体和缸盖通常都用螺栓连接。其强度要按拉应力和剪应力的合成应力计算。可参见第23章液压缸的有关部分。应该注意的是摆动液压缸的内腔常呈环式扇形,所以其最大拉力应是缸内最大压力和缸盖上最大受力面积之乘积。

(D)输出轴:单叶片式的输出轴不仅在承受最大扭矩时要有足够的强度,而且在承受径向载荷时也应有足够的刚度。如果径向载荷引起的弯矩较小,可采用许用扭应力计算法来考核轴的强度。双叶片式的输出轴不受径向载荷,所以也可用此法计算。

摆角大、工作压力又高的单叶片式摆动液压缸,因轴上所受不平衡径向力很大,故对输出轴的弯曲变形也应验算。其挠度应在允许范围内。通常许用挠度可取轴支承间距的万分之二。

随便看

 

离鸟网收录3541549条中英文词条,其功能与新华字典、现代汉语词典、牛津高阶英汉词典等各类中英文词典类似,基本涵盖了全部常用中英文字词句的读音、释义及用法,是语言学习和写作的有利工具。

 

Copyright © 2004-2024 vtrois.com All Rights Reserved
更新时间:2026/4/9 5:58:15