网站首页  词典首页


请输入您要查询的字词:

 

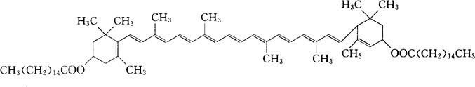
字词 叶黄素棕榈酸酯
类别 中英文字词句释义及详细解析
释义 叶黄素棕榈酸酯

C72H116O4=1045.71

CAS-547-17-1

β-胡萝卜素-4,4′-二醇二棕榈酸酯。

β-Carotene-4,4′-diol dipalmitate.

维生素类药。促进视网膜紫红质再生。

Xantofyl Palmitate,Heleinen,Adaptinol,Heligal.

INN,USAN.

随便看

 

离鸟网收录3541549条中英文词条,其功能与新华字典、现代汉语词典、牛津高阶英汉词典等各类中英文词典类似,基本涵盖了全部常用中英文字词句的读音、释义及用法,是语言学习和写作的有利工具。

 

Copyright © 2004-2024 vtrois.com All Rights Reserved
更新时间:2026/4/8 2:50:52