网站首页  词典首页


请输入您要查询的字词:

 

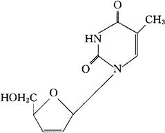
字词 司他夫定
类别 中英文字词句释义及详细解析
释义 司他夫定

C10H12N2O4=224.22

CAS-3056-17-5

2′,3′-二去氢-3′-去氧胸(腺嘧啶脱氧核)苷。

2′,3′-Didehydro-3′-deoxythymidine.

1-(2,3-二去氧-β-D-甘油基-五-2-烯呋喃糖基)胸腺嘧啶。

1-(2,3-Dideoxy-β-D-glycero-pent-2-enofuranosyl)thymine.

抗病毒药。

Stavudine,BMY-27857,d4T.

INN,USAN.

随便看

 

离鸟网收录3541549条中英文词条,其功能与新华字典、现代汉语词典、牛津高阶英汉词典等各类中英文词典类似,基本涵盖了全部常用中英文字词句的读音、释义及用法,是语言学习和写作的有利工具。

 

Copyright © 2004-2024 vtrois.com All Rights Reserved
更新时间:2026/5/25 12:07:15