网站首页  词典首页


请输入您要查询的字词:

 

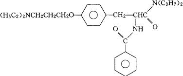
字词 司伏普胺
类别 中英文字词句释义及详细解析
释义 司伏普胺

C29H43N3O3二481.68

CAS-57227-17-5

(±)-α-苯甲酰氨基-对-[3-(二乙氨基)丙氧]-N,N二丙基氢化肉桂酰胺。

(±)-α-Benzamido-p-[3-(diethylamino)propoxy]-N,N-dipropylhydrocinnamamide.

肌肉松弛药,解痉药。

Sevopramide,CR 816.

INN,USAN.

随便看

 

离鸟网收录3541549条中英文词条,其功能与新华字典、现代汉语词典、牛津高阶英汉词典等各类中英文词典类似,基本涵盖了全部常用中英文字词句的读音、释义及用法,是语言学习和写作的有利工具。

 

Copyright © 2004-2024 vtrois.com All Rights Reserved
更新时间:2026/4/7 14:15:19