网站首页  词典首页


请输入您要查询的字词:

 

字词 各种非糖分
类别 中英文字词句释义及详细解析
释义 各种非糖分

1.纤维素和半纤维素

(1)纤维素 是甜菜肉中最稳定的部分,约占甜菜肉的24%。不溶于水、醇、醚、稀酸和稀碱及一切有机溶剂,溶于氢氧化铜的氨溶液。经长时间酸水解后,最终产物为葡萄糖。结构式为β葡萄糖的1,4结合体:

(2)半纤维素 介于淀粉与纤维素间的各种多缩戊糖和多缩己糖的混合物,为甜菜肉的23%。主要成分是多缩戊糖(树胶糖)。不溶于水,溶于碱。与1%的稀酸共热则水解为树胶糖、木糖、甘露糖、半乳糖和多缩糖醛酸(葡萄糖醛酸及半乳糖醛酸)的甲酯。受酶作用部分水解。受碱作用部分溶解,造成糖汁中胶体物和色素的增加。

2.果胶质

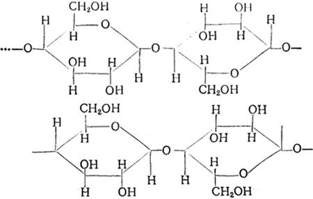
约占固形物的2.5%,为甜菜肉中最多的非糖分。果胶质是一种混合物。在甜菜肉中不溶于水的果胶称为原果胶质,可溶性的果胶质称果胶,即部分或全部酯化的多缩水解乳糖醛酸(约含7%的-O-CH3基)。

果胶(部分酯化的多缩水解乳糖醛酸)的结构式为:

果胶质性质见第三章第一节。

3.有机酸

为甜菜中可溶性不含氮的非糖分的主要组成部分,约占不含氮非糖分的50%。主要为草酸、丙二酸、丁二酸、戊二酸、己二酸、三羧基酸、乌头酸、羟基乙酸、乳酸、苹果酸、酒石酸、柠檬酸、羟基柠檬酸及乙醛酸等。最多为草酸、柠檬酸和苹果酸。

(1)物理性质 溶于水,苹果酸和酒石酸具有旋光能力。

(2)化学性质 十分稳定。唯草酸、酒石酸和柠檬酸等与钙形成不溶性盐,有糖分存在时,随糖分浓度的增加其钙盐溶解度有所降低。乙醛酸在碱作用下发生自身氧化还原反应,生成草酸和羟基乙酸。

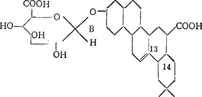
4.皂素

又名皂角苷,是葡萄糖苷类毒物。甜菜中约含0.14%,多存在于一毫米厚度的表皮和尾根。它具有极高的表面活性,能生成很稳定的泡沫。难溶于水而溶于酒精,其碱金属盐溶于水形成泡沫,钙盐不溶于水。在203~210℃溶化,

皂素与酸共热时,分解为皂角碱和葡萄糖醛酸,其结构式为:

5.粗脂肪

在甜菜中的含量很少,约含0.03%。多半是油酸,芜酸和棕榈酸的甘油脂。甜菜脂肪能与碱发生皂化反应而产生甘油和脂肪酸的盐类。

6.环己六醇

在成熟的甜菜中借助于纸上层析测走出含有0.4%的环己六醇和0.3%的肌醇α半乳糖苷,其含量与甜菜含糖有关。经长期保藏的甜菜,上述两种化合物的含量略增。

肌醇α半乳糖苷的比旋光度为:

7.蛋白质

约为甜菜重的0.7%,占含氮物60%。分子庞大,由很多不同氨基酸缩合而成。属于不溶于水但溶于稀盐类溶液的球蛋白类蛋白。

性质:

(1)两性化合物 在酸性介质中带阳电荷,在碱性中则相反。

(2)遇热脱水 发生不可逆性破坏——变性。对酸碱极不稳定,甜菜糖汁中蛋白质等电点为pH3.5。加灰时发生蛋白质的变性,与石灰生成不溶性化合物,比pH3.5时更完全,但沉淀物难于过滤和沉降。

(3)能降低钙离子活性,与碳酸生成氨甲酸盐,增加CaCO3及其他难溶性钙盐的视溶度积。

(4)具有高度表面活性,易生泡沫,影响糖的结晶。

(5)在酸、碱或酶的作用下,生成中间分解物——蛋白膘和蛋白胨,加热均不能凝聚。膘能盐析,胨则不能。生产过程均不能除去而转入废蜜中。

8.氨基酸

可认为是有机酸碳链上的氢原子被氨基(NH2)取代物,主要是谷氨酸(约占氨基酸的50%)和天冬酸。

甜菜中各种氨基酸的含量与甜菜品种及栽培条件有关,大体含有下列各种:

性质:

(1)易溶于水,不溶于醚,几乎不溶于酒精。

(2)是两性化合物,能与酸、碱生成盐类。但酸性强于碱性,为甜菜糖汁中的缓冲剂。

(3)与碱和碱土金属生成的盐类易溶于水,不能被石灰和醋酸铅沉淀。预灰时氨基酸可将蛋白质与石灰的沉淀胶溶,而降低预灰效果。

(4)氨基与还原糖的C=O基作用,生成深色物。

(5)具有光学活性,其旋光能力随反应介质不同而异。

9.酰胺

约占甜菜重0.015%,占含氮物的7.5%,通式为R-CONH2

性质:

(1)能很好结晶,易溶于水,不溶于酒精和醚。

(2)是中性化合物,但能与强酸作用生成盐类。

(3)生产过程中不能形成不溶性化合物,用碱性醋酸铅也不能沉淀。

(4)在起催化剂作用的酸和碱作用下,水解成酸和氨:

R-CONH2+HOH→R-COOH+NH3

(5)加灰时,在石灰的作用下发生分解反应,并一直延续到蒸发和结晶,致使糖汁pH下降甚至变酸。

甜菜中主要含有下述几种酰胺:

天冬酰胺(天冬氨酸的氨基化物):

具有旋光性,在测定甜菜含糖的条件下,其旋光度为-6.73。在酸性或碱性介质中,其旋光能力因水解而变动。

谷氨酰胺:

甜菜中含量约0.034~0·100%。在测定甜菜含糖的条件下,其旋光度为+10.24。在酸性或碱性介质中,其旋光能力因水解而变动。

氨羰基甲酸:

是草酸的单酰胺,水解时得到草酸并放出氨。

10.植物碱

(1)甜菜碱(三甲胺基乙酸)

占甜菜重0.20%,占含氮物的10.0%。

具强碱性,易与强酸生成盐类

在制糖过程中不能形成不溶物,且不分解而转入废蜜中。

(2)胆碱

碱性比甜菜碱强,加灰时微量分解:

(3)尿圜碱 约占含氮物的1~2%。

(4)尿囊素 含量约为甜菜重的0.015%。

此外,甜菜中可遇到微量的黄尿圜、鸟粪素和腺尿圜。

11.色素

见第四章第一节。

12.铵盐和亚硝酸盐

在甜菜中的含量很少,与酰胺氮一起共0.02%,亚硝酸盐仅含0.004%。

13.芳香物

主要是吡咯类的醇,还有少量香草素、乙酰胺等,总量约0.005%。

14.维生素

甜菜中维生素含量可参阅表1-31。

表1-31 甜菜中维生素含量

15.无机灰分

甜菜中的灰分含量随甜菜品种、气候、土壤和肥料等不同而异。总灰分含量约0.5~0.8%。

据呼和浩特糖厂和包头糖厂73/74年生产期甜菜分析含有:

K2 O 0.15~0·25 %对甜菜

Na2 O 0.05~0·07 %对甜菜

CaO 0.05~0·06 %对甜菜

MgO 0.05~0·06 %对甜菜

总阴离子含量50~60毫克当量/100克糖。

借助于光谱分析,从甜菜中还发现有微量的钡、铅、硼、铁、钴、铜、锰、钼、镍、铷、硒、银、硅、锶、铊和锌。

16.转化糖

见附录:三、糖类的理化特性。

17.棉实糖

见附录:三、糖类的理化特性。

18.蔗果三糖

见附录:三、糖类的理化特性。

随便看

 

离鸟网收录3541549条中英文词条,其功能与新华字典、现代汉语词典、牛津高阶英汉词典等各类中英文词典类似,基本涵盖了全部常用中英文字词句的读音、释义及用法,是语言学习和写作的有利工具。

 

Copyright © 2004-2024 vtrois.com All Rights Reserved
更新时间:2026/4/9 10:33:38