网站首页  词典首页


请输入您要查询的字词:

 

字词 吉多卡尼
类别 中英文字词句释义及详细解析
释义 吉多卡尼

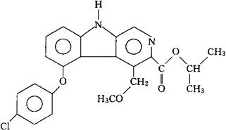
C23H21ClN2O4=424.88

CAS-109623-97-4

5-(对-氯苯氧)-4-(甲氧甲基)-9H-吡啶并[3,4-b]吲哚-3-羧酸异丙。

Isopropyl 5-(p-chlorophenoxy)-4-(methoxymethyl)-9H-pyrido-[3,4-b]indole-3-carboxylate.

苯并二氮受体激动药。

Gedocarnil,

INN,USAN.

随便看

 

离鸟网收录3541549条中英文词条,其功能与新华字典、现代汉语词典、牛津高阶英汉词典等各类中英文词典类似,基本涵盖了全部常用中英文字词句的读音、释义及用法,是语言学习和写作的有利工具。

 

Copyright © 2004-2024 vtrois.com All Rights Reserved
更新时间:2026/4/7 0:32:11