网站首页  词典首页


请输入您要查询的字词:

 

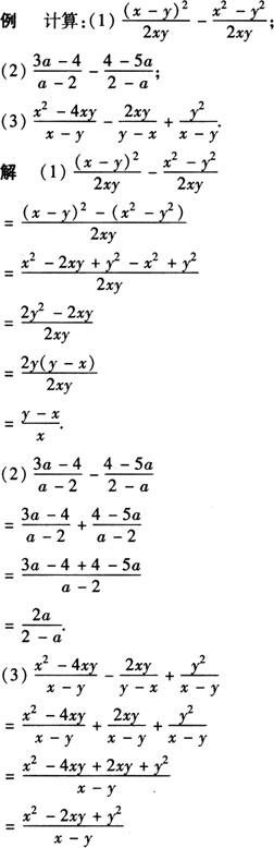
字词 同分母分式加减法法则
类别 中英文字词句释义及详细解析
释义 同分母分式加减法法则

同分母的分式相加减.分母不变,把分子相加减.

注意 1.用式子表示:a

2.同分母分式相加减,写长分数线,分母不变,分子相加减.分子是多项式时,先给它带上括号,再按去括号法则,把分子展开,合并同类项.

3.结果化成最简分式或整式.

随便看

 

离鸟网收录3541549条中英文词条,其功能与新华字典、现代汉语词典、牛津高阶英汉词典等各类中英文词典类似,基本涵盖了全部常用中英文字词句的读音、释义及用法,是语言学习和写作的有利工具。

 

Copyright © 2004-2024 vtrois.com All Rights Reserved
更新时间:2026/4/6 17:09:44