网站首页  词典首页


请输入您要查询的字词:

 

字词 同方向振动的合成和分解
类别 中英文字词句释义及详细解析
释义 同方向振动的合成和分解

振动是客观世界中最基本最普遍的运动形式之一,更何况各种各样的波又是相应振动的传播。

一般的振动可用付里叶分析的方法分解成若干简谐振动的合成。角频率为ω、振幅为A及初位相为φ的简谐振动可表示为

x(t)=Acos(ωt+φ)

如右图所示,如上述所示的x(t)可视为某绕o以角度ω转动的矢量A(其长度恰为振幅A,t=0与x轴的夹角恰为初位相φ),t时刻在x轴上的投影。应该注意振幅矢量图完全是一种为研究简谐振动而引入的工具。它的引入对于研究振动的合成是很方便的例如欲分析两个同方向的简谐振动

x1(t)=A1cos(ω1t+φ1)

x2(t)=A2cos(ω2t+φ2)

的合成

x(t)=x1(t)+x2(t)

=A1cos(ω1t+φ1)+A2cos(ω2t+φ2)

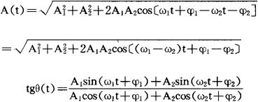
时,可以如下图那样引入相应的振幅矢量,不难证明x(t)恰为的合矢量在x轴上的投影

x(t)=A(t)cos〔θ(t)〕

式中

可看出一般情况下的模是随t变化的,的转动是非匀角速的,合成运动比较复杂。

有两种特例值得提一下,第一个例子是,此时A1与A2的夹角始终为φ1-φ2

于是

即两个同方向同频率的简谐振动的合成仍是同频率的简谐振动,合振动振幅A的大小随|φ1-φ2|变化,φ12时最大,即A=A1+A2;|φ1-φ2|=π时最小,即A=|A1-A2|。第二个例子是A1=A2时,该情况下有

这种合振动形式的特点是其振幅作周期性变化,这种现象称为拍,拍频

随便看

 

离鸟网收录3541549条中英文词条,其功能与新华字典、现代汉语词典、牛津高阶英汉词典等各类中英文词典类似,基本涵盖了全部常用中英文字词句的读音、释义及用法,是语言学习和写作的有利工具。

 

Copyright © 2004-2024 vtrois.com All Rights Reserved
更新时间:2026/5/25 9:16:45