向心力
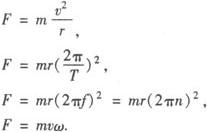
1.定义:做圆周运动的物体所受到的沿半径指向圆心方向的外力. (1)质点做匀速圆周运动所受到的合外力,就是向心力. (2)质点做变速圆周运动(速度的大小发生变化)所受到的合外力沿半径指向圆心方向的分力,就是向心力. 2.向心力并不是一种特殊性质的力,向心力的名称只是根据这个力的方向总是沿半径指向圆心的特点来命名的,它可以是重力、弹力、摩擦力等各种性质的力,也可以是几个力的合力,或者某个力的分力,没有单独存在的另外的向心力,在对质点进行受力分析时,不能额外地加上一个向心力. 3.向心力的方向:始终沿半径指向圆心,始终与线速度(运动)方向垂直,是时刻变化著的. 4.向心力的作用:只改变线速度的方向,不改变线速度的大小. 5.向心力的大小 (1)实验(课本图5—27所示的向心力演示器实验,用控制变量法演示)表明:向心力的大小跟物体的质量m、圆周半径r和角速度ω都有关系. (2)理论证明:匀速圆周运动所需的向心力大小为 F=mrω2. (3)几个导出公式:  |