网站首页  词典首页


请输入您要查询的字词:

 

字词 向心加速度
类别 中英文字词句释义及详细解析
释义 向心加速度

1.定义:由向心力产生的加速度.

2.向心加速度a与向心力F的关系遵从牛顿第二定律F=ma.

3.方向:总是沿半径指向圆心,始终与线速度方向垂直.

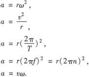
4.大小(由向心力公式和牛顿第二定律求得):

5.意义:描述由于运动方向改变而引起的速度变化的快慢.

6.匀速圆周运动是加速度变化的变加速曲线运动(非匀变速曲线运动),因为对某一确定的匀速圆周运动来说,m、r、v、ω、T的大小都是不变的,所以向心力和向心加速度的大小不变,但方向却时刻改变.

7.对于变速率圆周运动,可以用公式求质点在圆周上某点的向心加速度瞬时值,其中v或ω应取该点的线速度和角速度的瞬时值.

随便看

 

离鸟网收录3541549条中英文词条,其功能与新华字典、现代汉语词典、牛津高阶英汉词典等各类中英文词典类似,基本涵盖了全部常用中英文字词句的读音、释义及用法,是语言学习和写作的有利工具。

 

Copyright © 2004-2024 vtrois.com All Rights Reserved
更新时间:2026/4/7 8:09:34