网站首页  词典首页


请输入您要查询的字词:

 

字词 吖啶黄[中]
类别 中英文字词句释义及详细解析
释义 吖啶黄[中]

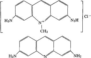
CAS-8048-52-0

3,6-二氨基-10-甲基吖啶氯化物与3,6二氨基吖啶的混合物。

3,6-Diamino-10-methylacridinum chloride mixt.with 3,6-acridinediamine.

消毒防腐药。

Aeriflavine,Cuflavine,Trypaflavine,Neutroflavine,Gonacrine.

NF,USAN,MI.

随便看

 

离鸟网收录3541549条中英文词条,其功能与新华字典、现代汉语词典、牛津高阶英汉词典等各类中英文词典类似,基本涵盖了全部常用中英文字词句的读音、释义及用法,是语言学习和写作的有利工具。

 

Copyright © 2004-2024 vtrois.com All Rights Reserved
更新时间:2026/4/8 13:16:53