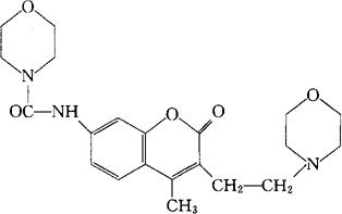
吗克罗孟
C21H27N3O5=401.46 CAS-35843-07-3 4-甲基-7-(4-吗啉甲酰胺)-3-(2-吗啉代乙基)香豆素。 4-Methyl-7-(4-morpholinecarboxamido)-3-(2-morpholinoethyl)coumarin. N-[4-甲基-3-[2-(4-吗啉基)乙基]-2-氧代-2H-1-苯并吡喃-7-基]-4-吗啉代甲酰胺。 N-[4-Methyl-3-[2-(4-morpholinyl)ethyl]-2-oxo2H-1-benzopyran-7-yl]-4-morpholinocarboxamide. 冠脉扩张药。 Morocromen,TVX 647. INN,USAN. 
|