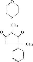
吗琥胺
C16H20N2O3=288.35 CAS-3780-72-1 3-甲基-1-(4-吗啉基甲基)-3-苯基-2,5-吡咯烷二酮。 3-Methyl-1-(4-morpholinylmethyl)-3-phenyl-2,5-pyrrolidine dione. 2-甲基-N-(吗啉基甲基)-2-苯基丁二酰亚胺。 2-Methyl-N-(meopholinomethyl)-2-phenylsuccinimide. 抗癫痫药,抗惊厥药。 Morsuximide,Morfolep,Morpholinyl,Morsuccinimide,Perlepsine,S-210. INN,USAN.  |