网站首页  词典首页


请输入您要查询的字词:

 

字词 吡可布洛芬[中]
类别 中英文字词句释义及详细解析
释义 吡可布洛芬[中]

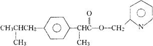
C19H23NO2=297.40

CAS-112017-99-9

(±)-α-甲基-4-(2-甲基丙基)苯乙酸,2-吡啶基甲酯。

(±)-α-Methyl-4-(2-methylpropyl)benzeneacetic acid,2-pyridinylmethyl ester.

(±)-对-异丁基氢化阿托酸2-吡啶基甲酯。

2-Pyridylmethyl(±)-8-pisobutylhydratropate.

消炎药。

皮考布洛芬。

Ibuprofen Piconol,Be-100,U-75630.

USAN.

随便看

 

离鸟网收录3541549条中英文词条,其功能与新华字典、现代汉语词典、牛津高阶英汉词典等各类中英文词典类似,基本涵盖了全部常用中英文字词句的读音、释义及用法,是语言学习和写作的有利工具。

 

Copyright © 2004-2024 vtrois.com All Rights Reserved
更新时间:2026/4/6 14:59:40