吡哆茶碱
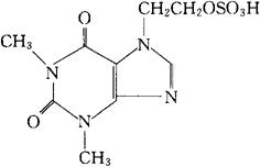
C8H11NO3·C9H12N4O6S=473.96 CAS-53403-97-7 3,7-二氢-1,3-二甲基-7-[2-(磺氧)乙基]-1H-嘌呤-2,6-二酮与5-羟-6-甲基-3,4-吡啶二甲醇(1∶1)的化合物。 3,7-Dihydro-1,3-dimethyl-7-[2-(sulfooxy)ethyl]-1H-purine-2,6-dionecompdwith5-hydroxy-6-methyl3,4-pyridinedimethanol(1∶1). 7-(2-羟乙基)茶碱硫酸氢酯的吡哆醇盐。 Pyridoxol salt of 7-(2-hydroxyethyl)theophylline hydrogen sulfate ester. 平滑肌松弛药,冠脉扩张药。 Pyridofyllin,Atherophylline. INN,DCF,USAN,MI. 
|