吡哌酸[中]
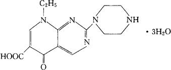
C14H17N5O3·3H2O=357.37 CAS-51940-44-4(anhydrous) 8-乙基-5,8-二氢-5-氧-2-(1-哌嗪基)吡啶并[2,3-d]嘧啶-6-羧酸三水化合物。 8-Ethyl-5,8-dihydro-5-oxo-2-(1-piperazinyl)pyrido[2,3-d]pyrimidine-6-carboxylic acid trihydrate. 抗菌药。用于大肠杆菌、痢疾杆菌、变形杆菌、绿脓杆菌等的感染。 吡卜酸。 Pipemidic Acid,PPA,Piperamic Acid,Pipram,1489RB,Antibiotic,1489RB. 吡哌酸片(PPA片),吡哌酸胶囊。 INN,DCF,JAN,USAN,MI. 
|