吡嘧磷
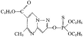
又称定菌磷。 有机磷杀菌剂。化学名称:O-〔6-乙氧羰基-5-甲基吡唑基(1,5a)嘧啶-2基〕-O,O二乙基硫代磷酸酯。化学结构式如下。 原药无色结晶,不溶于水,易溶于苯、甲苯、四氯化碳、三氯乙烷等,性质稳定,但遇酸碱则易分解。 德国赫司特公司开发,内吸性杀菌剂,用于防治果树、蔬菜白粉病,并兼有杀虫杀螨作用。以稻瘟菌试验表明,药剂经真菌代谢后转化为6-乙氧羰基-2-羟基-5-甲基吡唑并(1,5a)嘧啶(pρ),是杀菌的主要化学物质。 大白鼠口服急性LD50为 286~632mg/kg、经皮LD50为>2000mg/kg。 
|