网站首页  词典首页


请输入您要查询的字词:

 

字词 吡多昔酯
类别 中英文字词句释义及详细解析
释义 吡多昔酯

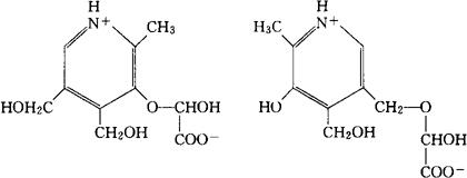
C10H13NO6·C10H13NO6=486.43

CAS-24340-35-0

[[5-羟-4-(羟甲基)-6-甲基-3-吡啶基]甲氧]乙醇酸与[[4,5-双(羟甲基)-2-甲基-3-吡啶基]氧]乙醇酸(1∶1)化合物。

[[5-Hydroxy-4-(hydroxymethyl)-6-methyl-3-pyridyl]methoxy]glycolic acid compound with[[4,5-bis(hydroxymethyl)-2-methyl-3-pyridyl]oxy]glycolic acid(1∶1).

冠脉扩张药。

吡醇羟乙醋(中)。

Piridoxilate.

INN,BAN,DCF,USAN.

随便看

 

离鸟网收录3541549条中英文词条,其功能与新华字典、现代汉语词典、牛津高阶英汉词典等各类中英文词典类似,基本涵盖了全部常用中英文字词句的读音、释义及用法,是语言学习和写作的有利工具。

 

Copyright © 2004-2024 vtrois.com All Rights Reserved
更新时间:2026/4/6 18:16:40