网站首页  词典首页


请输入您要查询的字词:

 

字词 吡拉莫南钠
类别 中英文字词句释义及详细解析
释义 吡拉莫南钠

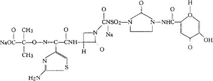
C22H22N10Na2O12S2=728.58

CAS-104393-00-2

CAS-108319-07-9(pirazmonam)

2-[[[1-(2-氨基-4-噻唑基)-2-[[1-[[[[3-[[(1,4-二氢-5-羟-4-氧代-2-吡啶基)羰基]氨基]-2-氧代-1-咪烷基]磺酰]氨基]羰基]-2-氧代-3-氮杂环丁烷基]氨基]-2-氧代亚乙基]氨基]氧]-2-甲基丙酸二钠盐。

Propanoic acid,2-[[[1-(2-amino-4-thiazolyl)-2-[[1-[[[[3-[[(1,4-dihydro-5-hydroxy-4-oxo-2-pyridinyl)carbonyl]amino]-2-oxo-1-imidazolidinyl]sulfonyl]amino]carbonyl]-2-oxo-3-azetidinyl]amino]-2-oxoethylidene]amino]oxy]-2-methyldisodium salt.

2-[[[(2-氨基-4-噻唑基)[[1-[[[3-(1,4-二氢-5-羟-4-氧代甲基吡啶酰胺基)-2-氧代-1-咪唑烷基]磺酰基]氨基甲酰基]-2-氧代-3-氮杂环丁烷基]氨基甲酰基]亚甲基]氨基]氧]-2-甲基丙酸二钠盐。

2-[[[(2-Amino-4-thiazoly)[[1-[[[3-(1,4-dihydro5-hydroxy-4-oxopicolinamido)-2-oxo-1-imidazolidinyl]sulfonyl]carbamoyl]-2-oxo-3-azetidinylcarbamoyl]methylene]amino]oxy]-2-methylpropionic acid,disodium salt.

抗生素类药。

匹那蒙南钠。

Pirazmonam Sodium,SQ 83360.

INN(Pirazmonam),USAN.

随便看

 

离鸟网收录3541549条中英文词条,其功能与新华字典、现代汉语词典、牛津高阶英汉词典等各类中英文词典类似,基本涵盖了全部常用中英文字词句的读音、释义及用法,是语言学习和写作的有利工具。

 

Copyright © 2004-2024 vtrois.com All Rights Reserved
更新时间:2026/5/25 10:55:58