网站首页  词典首页


请输入您要查询的字词:

 

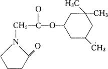
字词 吡拉酯
类别 中英文字词句释义及详细解析
释义 吡拉酯

C15H25NO3=267.37

CAS-82209-39-0

2-氧代-1-吡咯烷醋酸3,3,5-三甲环己-酯。

3,3,5-Trimethylcyclohexyl-2-oxo-1-pyrrolidi neacetate.

血管扩张药。

Piraxelate

lNN,USAN.

随便看

 

离鸟网收录3541549条中英文词条,其功能与新华字典、现代汉语词典、牛津高阶英汉词典等各类中英文词典类似,基本涵盖了全部常用中英文字词句的读音、释义及用法,是语言学习和写作的有利工具。

 

Copyright © 2004-2024 vtrois.com All Rights Reserved
更新时间:2026/4/8 11:12:26