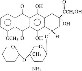
吡柔比星
C32H37NO12=627.65 CAS-72496-41-4 (8S,10S)-10-[[3-氨基-2,3,6-三去氧-4-O-(2R-四氢-2H-吡喃-2-基)-α-L-来苏-吡喃己糖基]氧]-8-乙醇酰-7,8,9,10-四氢-6,8,11-三羟-1-甲氧-5,12-并四苯二酮。 (8S,10S)-10-[[3-Amino-2,3,6-trideoxy-4-O-(2Rtetrahydro-2H-pyran-2-yl)-α-L-lyxo-hexopyranosyl]oxy]-8-glycoloyl-7,8,9,10-tetrahydro-6,8,11-trihydroxy-1-methoxy-5,12-naphthacenedione. 抗生素类药。 Pirarubicin. INN,USAN,MI.  |