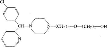
吡氯斯汀
C20H26ClN3O2=375.90 CAS-55837-13-3 2-[2-[4-(对-氯-α-2-吡啶苄基)-1-哌嗪基]乙氧]乙醇。 2-[2-[4-(p-Chloro-α-2-pyridylbenzyl)-1-piperazinyl]ethoxy]ethanol. 2-[2-[4-(4-氯苯基)-2-吡啶甲基]-2-哌嗪基)]-乙氧乙醇。 2-[2-[4-(4-Chlorophenyl)-2-pyridinylmethyl]-2-piperazinyl)]ethoxy ethanol. 抗组胺药。 Piclopastine. INN,DCF,USAN. 
|