网站首页  词典首页


请输入您要查询的字词:

 

字词 吡磷酸钠
类别 中英文字词句释义及详细解析
释义 吡磷酸钠

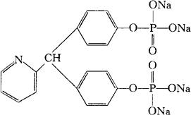
C18H13NNa4O8P2=525.21

CAS-36175-05-0

4,4′-(2-吡啶亚甲基)二酚双(磷酸二氢)四钠盐。

4,4′-(2-Pyridylmethylene)diphenol bis(dihydrogen phosphate)tetrasodium salt.

导泻药。

双酚吡啶磷酸钠,四钠磷酸酯。

Sodium Picofosfate.

INN,USAN.

随便看

 

离鸟网收录3541549条中英文词条,其功能与新华字典、现代汉语词典、牛津高阶英汉词典等各类中英文词典类似,基本涵盖了全部常用中英文字词句的读音、释义及用法,是语言学习和写作的有利工具。

 

Copyright © 2004-2024 vtrois.com All Rights Reserved
更新时间:2026/5/25 23:40:42