网站首页  词典首页


请输入您要查询的字词:

 

字词 吡维氯铵
类别 中英文字词句释义及详细解析
释义 吡维氯铵

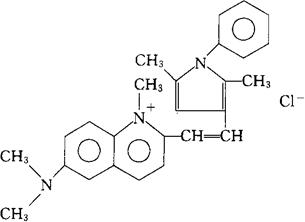
C26H28ClN3=417.98

CAS-548-84-5

6-二甲氨基-2′-[2-(2,5-二甲基-1-苯基-3-吡咯基)乙烯基]-1-甲基喹啉鎓氯化物。

6-Dimethylamino-2′-[2-(2,5-dimethyl-1-phenyl-3-pyrrolyl)vinyl]-1-methylquinolinium chloride.

抗蠕虫药。

Pyrvinium Chloride,Viprynium Chloride,SN 4395.

INN,DCIT,USAN,MI.

随便看

 

离鸟网收录3541549条中英文词条,其功能与新华字典、现代汉语词典、牛津高阶英汉词典等各类中英文词典类似,基本涵盖了全部常用中英文字词句的读音、释义及用法,是语言学习和写作的有利工具。

 

Copyright © 2004-2024 vtrois.com All Rights Reserved
更新时间:2026/5/25 10:55:57