网站首页  词典首页


请输入您要查询的字词:

 

字词 吡罗昔康[中]
类别 中英文字词句释义及详细解析
释义 吡罗昔康[中]

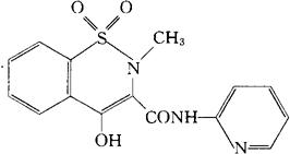
C15H13N3O4S=331.35

CAS-36322-90-4

4-羟-2-甲基-N-2-吡啶基-2H-1,2-苯并噻嗪-3-羧酰胺-1,1-二氧化物。

4-Hydroxy-2-methyl-N-2-pyridyl-2H-1,2-benzothiazine-3-carboxamide-1,1-dioxide.

消炎镇痛药。用于风湿性、类风湿性关节炎。

炎痛喜康。

Piroxicam,Feldene.

吡罗昔康片(炎痛喜康片),吡罗昔康肠溶片(炎痛喜康肠溶片).吡罗昔康胶囊(炎痛喜康胶囊)。

INN,RAN,DCF,USAN,USP,MI.

随便看

 

离鸟网收录3541549条中英文词条,其功能与新华字典、现代汉语词典、牛津高阶英汉词典等各类中英文词典类似,基本涵盖了全部常用中英文字词句的读音、释义及用法,是语言学习和写作的有利工具。

 

Copyright © 2004-2024 vtrois.com All Rights Reserved
更新时间:2026/4/8 18:12:44