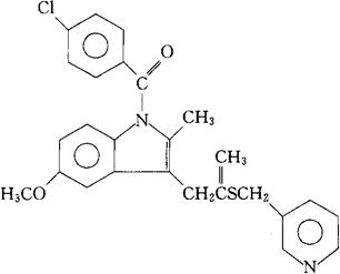
吡美辛
C25H21ClN2O3S=464.97 CAS-79992-71-5 1-(对-氯苯甲酰)-5-甲氧-2-甲基-3-吲哚乙酸3-吡啶甲基硫酯。 1-(p-Chlorobenzoyl)-5-methoxy-2-methyl-3-indoleacetic acid 3-pyridylmethylthioester. S-(3-吡啶甲基)1-(4-氯苯甲酰)-5-甲氧-2-甲基-1H吲哚-3-乙烷硫代酸。 S-(3-Pyridinylmethyl)1-(4-chlorobenzoyl)-5-methoxy-2-methyl-1H-indole-3-ethanethioic acid. 消炎镇痛药,抗凝血药。 吡美达星。 Pimetacin. INN,USAN.  |