网站首页  词典首页


请输入您要查询的字词:

 

字词 吡考拉唑
类别 中英文字词句释义及详细解析
释义 吡考拉唑

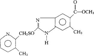
C17H17N3O3S=343.40

CAS-78090-11-6

6-甲基-2-[[(3-甲基-2-吡啶基)甲基]亚磺酰]-5-苯并咪唑羧酸甲酯。

Methyl 6-methyl-2-[[(3-methyl-2-pyridyl)methyl]sulfinyl]-5-benzimidazolecarboxylate.

抗溃疡病药,胃酸分泌抑制药。

匹果亚砜。

Picoprazole.

INN,USAN.

随便看

 

离鸟网收录3541549条中英文词条,其功能与新华字典、现代汉语词典、牛津高阶英汉词典等各类中英文词典类似,基本涵盖了全部常用中英文字词句的读音、释义及用法,是语言学习和写作的有利工具。

 

Copyright © 2004-2024 vtrois.com All Rights Reserved
更新时间:2026/4/7 12:32:22