网站首页  词典首页


请输入您要查询的字词:

 

字词 含乙醇盐酸多西环素
类别 中英文字词句释义及详细解析
释义 含乙醇盐酸多西环素

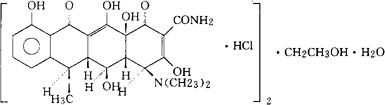
(C22H24N2O8·HCl)2·C2H6O·H2O=1025.89

CAS-24390-14-5

CAS-564-25-0(doxycycline)

[4S-(4α,4aα,5α,5aa,6α,12aα)]-4-(二甲氨基)-1,4,4a,5,5a,6,11,12a-八氢-3,5,10,12,12a-五羟-6-甲基-1,11-二氧代-2-并四苯羧酰胺与乙醇(2∶1)的一水化合物。

[4S-(4α,4aa,5α,5aα,6α,12aa)]-4-(Dimethylamino)-1,4,4a,5,5a,6,11,-12a-octahydro-3,5,10,12,12a-pentahydroxy-6-methyl-1,11-dioxo-2-naphthacenecarboxamide,monohydrochloride,compd.with ethanol(2∶1)monohydrate.

4-二甲氨基-1,4,4a,5,5a,6,11,12a-八氢-3,5,10,12,12a-五羟-6-甲基-1,11-二氧代-2-并四苯羧酰胺,单盐酸盐与乙醇的一水化物。

4-(Dimethylamino)-1,4,4a,5,5a,6,11,12a-octahydro-3,5,10,12,12a-pentahydroxy-6-methyl-1,11-dioxo-2-naphthacenecarboxa midemonohydrochloride, compound with ethyl alcohol(2∶1)monohydrate.

抗生素类药。

含乙醇盐酸脱氧土霉素。

Doxycycline Hyclate,Doryx,Vivox.

USAN,USP.

随便看

 

离鸟网收录3541549条中英文词条,其功能与新华字典、现代汉语词典、牛津高阶英汉词典等各类中英文词典类似,基本涵盖了全部常用中英文字词句的读音、释义及用法,是语言学习和写作的有利工具。

 

Copyright © 2004-2024 vtrois.com All Rights Reserved
更新时间:2026/4/7 12:12:17