网站首页  词典首页


请输入您要查询的字词:

 

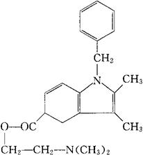
字词 吲哚克酯
类别 中英文字词句释义及详细解析
释义 吲哚克酯

C22H26N2O2=350.46

CAS-31386-25-1

1-苄基-2,3-二甲基吲哚-5-羧酸2-(二甲氨基)乙酯。

2(Dimethylamino)ethyl 1-benzyl-2,3-dimethylindole-5-carboxylate.

2,3-二甲基-1-(苯基甲基)-1H-吲哚-5-羧酸2-(二甲基氨基)乙基酯。

2,3-Dimethyl-1-(phenylmethyl)-1H-indole-5-carboxylic acid 2-(dimethylamino)ethyl ester.

单胺氧化酶抑制药,抗5-羟色胺药。

Indocate,Indocarb,K-281.

INN,USAN.

随便看

 

离鸟网收录3541549条中英文词条,其功能与新华字典、现代汉语词典、牛津高阶英汉词典等各类中英文词典类似,基本涵盖了全部常用中英文字词句的读音、释义及用法,是语言学习和写作的有利工具。

 

Copyright © 2004-2024 vtrois.com All Rights Reserved
更新时间:2026/4/8 23:52:41