网站首页  词典首页


请输入您要查询的字词:

 

字词 吸水箱后纸料量的计算
类别 中英文字词句释义及详细解析
释义 吸水箱后纸料量的计算

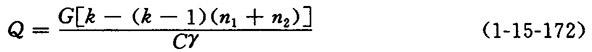
【公式】

式中 Q——吸水箱后纸料量(m3/min)

G——纸机理论产纸量(kg/min)

K——漏浆系数

n1——案辊部分漏浆量占总漏浆量的百分率(%),对于一般纸张n1值为90%左右

n2——真空吸水箱漏浆量的百分率(%),对于一般纸浆的n2值为5%左右

C——真空吸水箱后湿纸页干度(%)

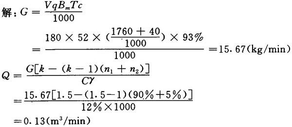
【例】 某厂1760纸机生产52g/m2凸版纸,车速180m/min,成纸干度为93%,漏浆系数为1.5,n1=90%,n2=5%,吸水箱后纸页干度为12%,求真空吸水箱后纸料量。(纸料密度取1000kg/m3)

随便看

 

离鸟网收录3541549条中英文词条,其功能与新华字典、现代汉语词典、牛津高阶英汉词典等各类中英文词典类似,基本涵盖了全部常用中英文字词句的读音、释义及用法,是语言学习和写作的有利工具。

 

Copyright © 2004-2024 vtrois.com All Rights Reserved
更新时间:2026/5/26 12:08:42