网站首页  词典首页


请输入您要查询的字词:

 

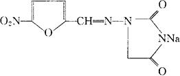
字词 呋喃妥因钠[中]
类别 中英文字词句释义及详细解析
释义 呋喃妥因钠[中]

C8H5N4NaO5=260.15

N-[(5-硝基-2-呋喃亚甲基)氨基]乙内酰脲钠盐。

N-[(5-Nitro-2-furfurylidene)amino]hydantoin sodium salt.

抗菌素类药。用于泌尿道细菌感染。

呋喃坦啶钠,泌尿康钠。

Furadantin Sodium,Nitrofurantoin Sodium.

注射用呋喃妥因钠。

随便看

 

离鸟网收录3541549条中英文词条,其功能与新华字典、现代汉语词典、牛津高阶英汉词典等各类中英文词典类似,基本涵盖了全部常用中英文字词句的读音、释义及用法,是语言学习和写作的有利工具。

 

Copyright © 2004-2024 vtrois.com All Rights Reserved
更新时间:2026/5/25 10:07:43