网站首页  词典首页


请输入您要查询的字词:

 

字词 呋布西林
类别 中英文字词句释义及详细解析
释义 呋布西林

C19H24N2O7S=424.47

CAS-54340-65-7

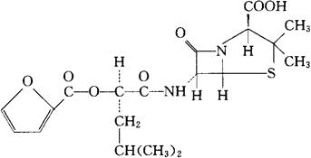
6-[(R)-2-羟-4-甲基戊酰胺基]-3,3-二甲基-7-氧代-噻-1-氮杂双环[3.2.0]庚烷-2-羧酸-2-糠酸酯。

6-[(R)-2-Hydroxy-4-methylvaleramido]-3,3-dimethyl-7-oxo-thia-1-azabicyclo[3.2.0]heptane-2-carboxylic acid 2-furoate(ester).

6-[[2-[(2-呋喃基羰基)氧]-4-甲基-1-氧代戊基]氨基]-3,3-二甲基-7-氧代-4-噻-1-氮杂双环[3.2.0]庚烷-2-羧酸。

6-[[2-[(2-Furanylcarbonyl)oxy]-4-methyl-1-oxopentyl]amino]-3,3-dimethyl-7-oxo-4-thia-1-azabicyclo[3.2.0]heptane-2-carboxylic acid.

[1-(2-糠酰氧)-3-甲基丁基]青霉素。

[1-(2-Furoyloxy)-3-methylbutyl]penicillin.

抗生素类药。

Furbucillin.

INN,USAN.

随便看

 

离鸟网收录3541549条中英文词条,其功能与新华字典、现代汉语词典、牛津高阶英汉词典等各类中英文词典类似,基本涵盖了全部常用中英文字词句的读音、释义及用法,是语言学习和写作的有利工具。

 

Copyright © 2004-2024 vtrois.com All Rights Reserved
更新时间:2026/4/7 5:28:29