网站首页  词典首页


请输入您要查询的字词:

 

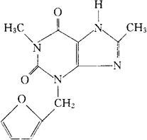
字词 呋拉茶碱
类别 中英文字词句释义及详细解析
释义 呋拉茶碱

C12H12N4O3=260.25

CAS-80288-49-9

3-糠基-1,8-二甲基黄嘌呤。

3-Furfuryl-1,8-dimethylxanthine.

3-(2-呋喃甲基)-3,7-二氢-1,8-二甲基-1H-嘌呤-2,6-二酮。

3-(2-Furanylmethyl)-3,7-dirydro-1,8-dimethyl-1Hpurine-2,6-dione.

支气管扩张药,血管扩张药平喘药。

Furafylline.

INN,USAN.

随便看

 

离鸟网收录3541549条中英文词条,其功能与新华字典、现代汉语词典、牛津高阶英汉词典等各类中英文词典类似,基本涵盖了全部常用中英文字词句的读音、释义及用法,是语言学习和写作的有利工具。

 

Copyright © 2004-2024 vtrois.com All Rights Reserved
更新时间:2026/5/25 15:03:44