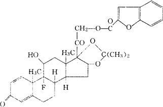
呋曲安奈德
C33H35FO8=578.63 CAS-4989-94-0 9-氟-11β,16α,17,21-四羟孕甾-1,4-二烯-3,10-二酮与丙酮复合成环16,17-乙缩醛21-(2-苯并呋喃羧酸酯)。 9-Fluoro-11β,16α,17,21-tetrahydroxypregna-1,4-diene-3,10-dione cyclic 16,17-acetal with acetone,21-(2-benzofurancarboxylate). 消炎药。 Triamcinolone Furetonide,He 192. INN,USAN. 
|