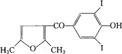
呋碘达隆
C13H10I2O3=468.03 CAS-4662-17-3 2,5-二甲基-3-呋喃基-4-羟-3,5-二碘苯基酮。 2,5-Dimethyl-3-furyl-4-hydroxy-3,5-diiodophenyl ketone. (2,5-二甲基-3-呋喃基)(4-羟-3,5-二碘苯基)甲基酮。 (2,5-Dimethyl-3-furfanyl)(4-hydroxy-3,5-diiodophenyl)methanone. 冠脉扩张药,血管扩张药。 Furidarone,DB 136. INN,USAN.  |