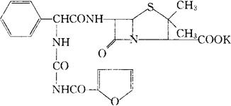
呋苄西林钾
C22H21KN4O7S=524.50 CAS-25673-17-06-[[[[[(2-呋喃基羰基)氨基]羰基]氨基]-苯基乙酰]氨基]-3,3-二甲基-7-氧代-4-硫杂-1-氮杂双环[3.2.0]庚烷-2-羧酸钾。 6-[[[[[(2-Furanylcarbonyl)amino]carbonyl]amino]phenylacetyl]amino]-3,3-dimethyl-7-oxo-4-thia-1-azabicyclo[3.2.0]heptane-2-carboxylic acid potassium. 6-[D-α-[3-(2-呋喃甲酰)脲基]苯乙酰胺基]青霉烷酸钾。 6-[D-α-[3-(2-Furoyl)ureido]phenylaeetamido]penicillanate potassium. 抗生素类药。 用于绿脓杆菌、大肠杆菌和变形杆菌的感染。 呋苄青霉素,呋喃酰脲苄青霉素,呋喃酰脲苄青霉素钾,呋氨西林,呋脲苄青霉素钾。 Furbenicillin Potassium,BL-P 1597. 注射用呋脲苄青霉素钾(注射用呋苄青霉素钾)。 
|