网站首页  词典首页


请输入您要查询的字词:

 

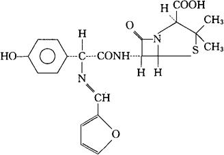
字词 呋莫西林
类别 中英文字词句释义及详细解析
释义 呋莫西林

C21H21N3O6S=443.47

CAS-78186-33-1

[2S-[2α,5α,6β(S*)]]-6-[[[(2-呋喃基亚甲基)氨基](4-羟苯基)乙酰]氨基]-3,3-二甲基-7-氧代-4-噻-1-氮杂双环[3.2.0]庚烷-2-羧酸。

[2S-[2α,5α,6β(S*)]]-6-[[[(2-Furanylmethylene)amino](4-hydroxyphenyl)acetyl]amino]-3,3-dimethyl-7-oxo-4-thia-1-azabicyclo[3.2.0]heptane2-carboxylic acid.

(2S,5R,6R)-6-[(R)-2-(亚基氨基)-2-(对-羟苯基)-乙酰胺基]-3,3-二甲基-7-氧代-4-噻-1-氮杂双环[3.2.0]庚烷-2-羧酸。

(2S,5R,6R)-6-[(R)-2-(Furfurylideneamino)-2-(phydroxyphenyl)-acetamido]-3,3-dimethyl-7-oxo-4-thia-1-azabicyclo[3.2.0]heptane-2-carboxylic acid.

抗生素类药。

亚糖基阿莫西林。

Fumoxicillin,FU-02,Furfurylideneamoxicillin, Furoxicillin.

INN,USAN.

随便看

 

离鸟网收录3541549条中英文词条,其功能与新华字典、现代汉语词典、牛津高阶英汉词典等各类中英文词典类似,基本涵盖了全部常用中英文字词句的读音、释义及用法,是语言学习和写作的有利工具。

 

Copyright © 2004-2024 vtrois.com All Rights Reserved
更新时间:2026/5/25 18:57:00