网站首页  词典首页


请输入您要查询的字词:

 

字词 味觉产生和食品味道与分子结构的关系
类别 中英文字词句释义及详细解析
释义 味觉产生和食品味道与分子结构的关系

在现代生活中,人们对食品的色香味提出了愈来愈高的要求,为了满足人民的需要,研究食品味道与分子结构的关系具有重要意义。

世界各国对味觉的分类并不一致。中国人常称五味:酸、甜、苦、辣、咸。

从生理学角度只分为:酸、甜、苦、咸4种基本味。辣味是刺激口腔粘膜引起的痛觉,涩味是刺激舌粘膜引起的收敛作用,都不是通过味觉器官感受到的,但就食品调味来说,辣和涩也应看成两种独立的味。

4种基本味觉产生的过程与分子结构的关系为如下。

甜味 糖类是人们应用最早的天然甜味物质。从化学结构上它属于碳水化合物中的多羟基醛或多羟基酮及其缩合物。糖类物质并不都具有甜味,少数单糖如葡萄糖与果糖,和一些低聚糖如蔗糖和麦芽糖等有甜味,其甜味强度各不相同。

有些糖的组成和结构都相同,但由于空间构型不同,就无甜味或有苦味。

例如麦芽糖和纤维二糖,它们都是由两分子葡萄糖通过1,4-甙键缩合而成,不同的是麦芽糖的甙键是α型,纤维二糖是β型。麦芽糖有甜味,纤维二糖无味。又如:α-D-甘露糖有甜味,β-D-甘露糖有苦味。

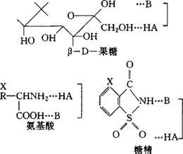
某些多元醇如山梨醇、甘露醇、木糖醇等有甜味。有些氨基酸如L-丙氨酸、D-色氨酸等都有甜味。糖精和对乙苯脲是人工合成的甜味剂。为什么组成和结构不同的化合物都有甜味呢?1967年沙伦伯格(Shallenberger)等提出了AH-B生甜团学说。下面3种甜味物质的组成和结构都不相同。

式中AH为氢供给基,B为氢接受基,X为疏水基。

沙伦伯格认为:上述化合物都具有氢的供给基AH和氢的接受基B,二者间的距离约为0.3nm。当甜味物质与甜味感受器官接触时,彼此可形成氢键。氢键的强度越大,甜味越强。

沙伦伯格理论的提出成功地解释了许多物质具有甜味的原因。但该理论无法解释具有相同B-HA结构的糖和D构型氨基酸,它们的甜度为什么可以相差数千倍。后来克依尔(Kier)提出了修正。

他指出:如果在甜味剂分子中,距离A0.35nm和距离B0.55nm处存在疏水基,可明显地增强甜度,如上面列举的氨基酸和糖精分子中的疏水基X。由于甜味剂中的疏水基可以与味接受膜中相应部位的疏水基相结合(相似相溶原理),使甜味剂容易被接受膜所吸附,增强了对味蕾的刺激作用。事实也证明了这种观点的正确。

如:在具有相同B-HA结构,不同的D-氨基酸中,在相应部位具有疏水基的缬氨酸、亮氨酸、色氨酸等都有较强的甜味。

此外分子中存在邻二醇结构的化合物一般都有甜味,甜味的大小与邻二醇结构中羟基之间形成的分子内氢键的强弱成反比。分子内氢键越强,削弱了糖分子与味感觉器官之间的氢键,使其甜味减弱或不显甜味。

这也是组成和结构相同,而构型不同的糖,甜度不同的原因。

酸味 酸味是由于舌粘膜上的味蕾受到氢离子的刺激而引起的。

酸味的强度与酸的种类有关。

试验表明:在相同的H+浓度条件下,不同的酸其酸味强度不同。下列酸味物质在相同的H+浓度条件下,酸味由强到弱的次序为:醋酸>甲酸>草酸>盐酸。产生这种现象的原因,其一是由于舌粘膜能中和H+,使酸味感逐渐消失。

醋酸等虽不是强酸,但能随著中和不断地离解出H+,使感受到较强的酸味;其二是由于酸味物质的阴离子对酸味强度也有影响。一般说来在相同H+浓度时,有机酸的酸味强度比无机酸大。

因为舌粘膜对有机酸的阴离子比对无机酸的阴离子更容易吸附,而酸的阴离子可以中和舌粘膜上的正电荷,使H+更容易与舌粘膜结合刺激味蕾。

因此食品酸味剂常采用有机酸,如醋酸、柠檬酸、乳酸等。

苦味 通常苦味是不受欢迎的味道。但许多食品都含有呈苦味的物质,如茶叶、咖啡、可可、啤酒、苦瓜等。苦味具有刺激味觉器官的作用。如果调配得适当,苦味还能起到丰富和改善食品风味的作用。

苦味物质的分子中一般都含有下列原子团:-NO2,≡N,-SH,-S-,-S-S-,=C=S,-SO3H等。无机盐中的Ca2+、Mg2+NH4+等阳离子和Br、I等阴离子都有苦味。

关于苦味与化学结构关系的理论报导不多,目前公认的有范氏理论,也称疏水键合理论:呈苦味物质的分子一般为疏水性,它与味觉器官之间是通过范德华力作用的。苦味物质的分子大都具有氢供给基和氢接受基,二基间的距离约0.15nm,形成分子内氢键,使分子成为疏水性分子。

事实也证明了这个理论的正确性,如亲水性的L-谷氨酸二肽有鲜味,疏水性的二肽一般都有苦味。在有苦味的多肽分子上引入亲水基后,其苦味可以消失。

成味 咸味是食品调味中最重要的。它是中性盐显示的味,其中氯化钠的咸味最纯净,其它盐类有复合味,例如铅盐有甜味,镁盐有苦味。

咸味是由组成盐的离子决定的,阳离子和阴离子都影响咸味的形成。咸味是卤素阴离子的共性,其中Cl->Br->I-。

阳离子在加强咸味的同时,还可添加别的味,如K+、NH4+添弱苦味,Mg2+添强苦味,Ca2+添不快的苦味。主要为咸味的盐有NaCl、KCl、NH4Cl、LiCl、NaBr、NaI等。兼有咸味和苦味的盐有KBr、NH4I。苦味变强的盐有CsCl、KI、MgCl2、MgSO4等。有机盐中与食盐咸味相近的盐有苹果酸钠和葡萄糖酸钠等。

除上述4种基本味外,由鱼、海带等引起的鲜味常与谷氨酸钠、核苷酸类等化合物有关。

涩味的主要来源是单宁类物质。辣味物质如生姜中的姜酮、辣椒中的辣椒素、芥子中的异硫氰酸丙烯酯等。

味觉作用的机理复杂。

如在饮料、果汁中加入麦芽酚可强化甜味,这种现象称味的增效作用。

味也有抑制作用,如咀嚼过匙羹藤叶后,再吃甜或苦味物质感觉不出味道。味还有变调现象,如吃过食盐后,马上喝无味的清水会感到有甜味。

研究某种味的有效成分及其合成,味的增效机理,抑制不良味的方法等都是目前味研究的重要内容。

食品风味是指食品入口前对人的视觉、味觉、嗅觉和触觉等器官的刺激,所引起的综合印象。

研究食品的色香味与分子结构的关系,可用于食品加工与保鲜,提取与合成各种食品添加剂,创造新型风味食品,培育风味品种农作物,及制定鉴别食品质量的可靠指标等。今后在这些方面会有许多报导。

。【参考文献】:

1 Birch G G,et al.Food Science,1976

2 藤卷正生,等.食の科学.朝仓书店,1976

3 何其傥.风味化学.华中农业大学食品科技系编译,1985

4 赵玉玲.化学世界,1991,1∶4~8

(北京轻工业学院赵玉玲副教授、王钖臣教授撰;焦克芳研究员审)

随便看

 

离鸟网收录3541549条中英文词条,其功能与新华字典、现代汉语词典、牛津高阶英汉词典等各类中英文词典类似,基本涵盖了全部常用中英文字词句的读音、释义及用法,是语言学习和写作的有利工具。

 

Copyright © 2004-2024 vtrois.com All Rights Reserved
更新时间:2026/5/25 15:01:11